Закрыть
ГОСТ 14954
р.
р.
Заказать
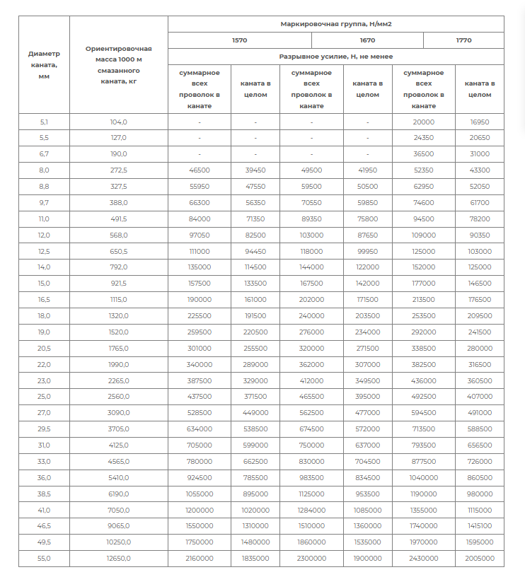
КАНАТ СТАЛЬНОЙ ДВОЙНОЙ СВИВКИ ТИПА ЛК-Р
КОНСТРУКЦИИ 6x19(1+6+6/6)+7x7(1+6)
ГОСТ 14954
(аналог DIN 3059 (SE), DIN EN 12385-4, ISО 2408)
Применение: канаты для судовых подъёмных установок, подъёмно-транспортных машин
Характеристики
Доставка
Характеристики
Доставка
Осуществляем доставку следующими способами:
Доставка транспортными компаниями
Самовывоз со склада
Left
Right
Ваше имя
Email
Ваш телефон
Отправляя заявку, вы соглашаетесь с
политикой конфиденциальности
ОСТАВИТЬ ЗАЯВКУ