Закрыть
ГОСТ 3066
р.
р.
Заказать
КАНАТ СТАЛЬНОЙ ДВОЙНОЙ СВИВКИ ТИПА ЛК-О
КОНСТРУКЦИИ 6х7(1+6)+1х7(1+6)
ГОСТ 3066
(аналог DIN 3055 (SE), DIN EN 12385-4, ISО 2408)
Применение: канаты для автомобилей,
вычислительной техники, для запорно-пломбировочных устройств
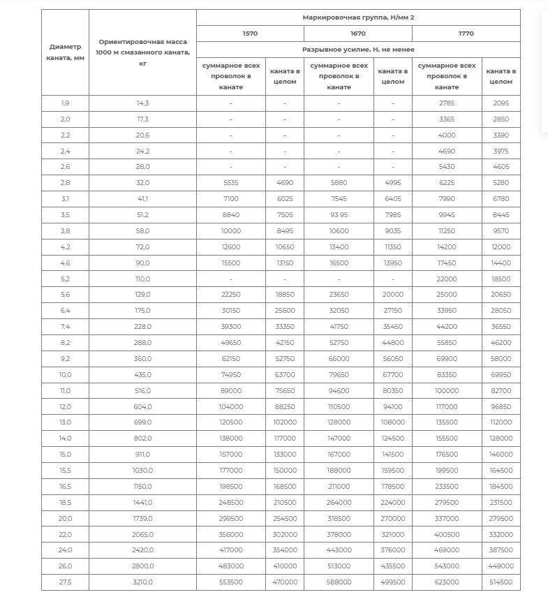
Характеристики
Доставка
Характеристики
Доставка
Осуществляем доставку следующими способами:
Доставка транспортными компаниями
Самовывоз со склада
Left
Right
Ваше имя
Email
Ваш телефон
Отправляя заявку, вы соглашаетесь с
политикой конфиденциальности
ОСТАВИТЬ ЗАЯВКУ