Закрыть
ГОСТ 7668
р.
р.
Заказать
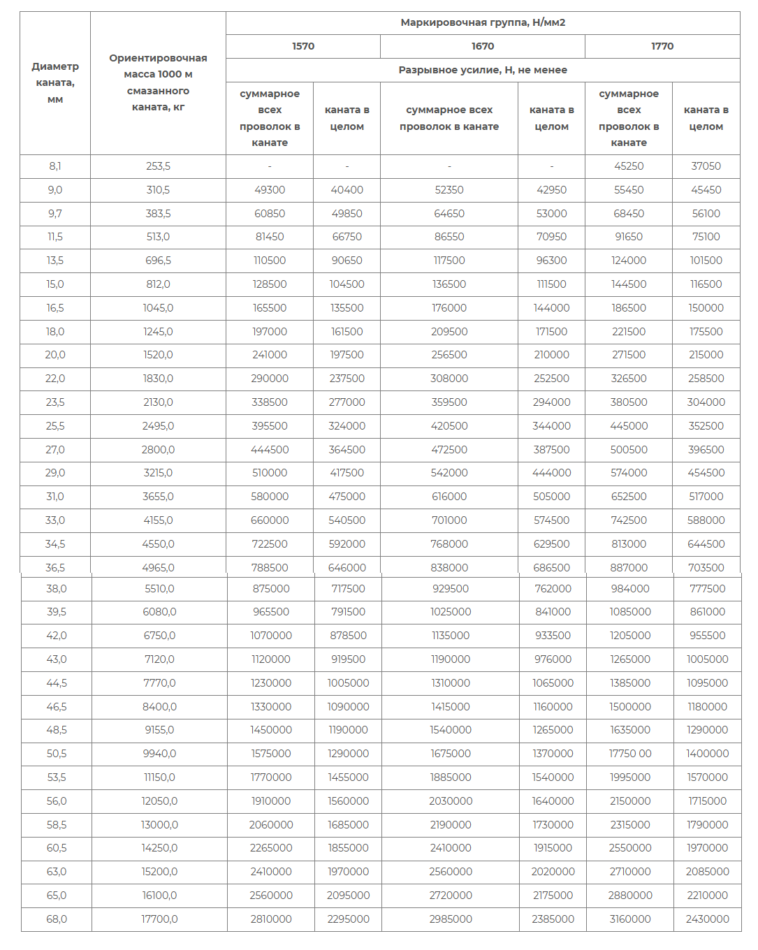
КАНАТ СТАЛЬНОЙ ДВОЙНОЙ СВИВКИ ТИПА ЛК-РО
КОНСТРУКЦИИ 6х36(1+7+7/7+14)+1о.с.
ГОСТ 7668
(аналог DIN 3064 (FE), DIN EN 12385-4, ISО 2408)
Применение: канаты для подъёмно-транспортных машин, шахтные канаты для подъемных установок
Характеристики
Доставка
Характеристики
Доставка
Осуществляем доставку следующими способами:
Доставка транспортными компаниями
Самовывоз со склада
Left
Right
Ваше имя
Email
Ваш телефон
Отправляя заявку, вы соглашаетесь с
политикой конфиденциальности
ОСТАВИТЬ ЗАЯВКУ