Закрыть
ГОСТ 3062
р.
р.
Заказать
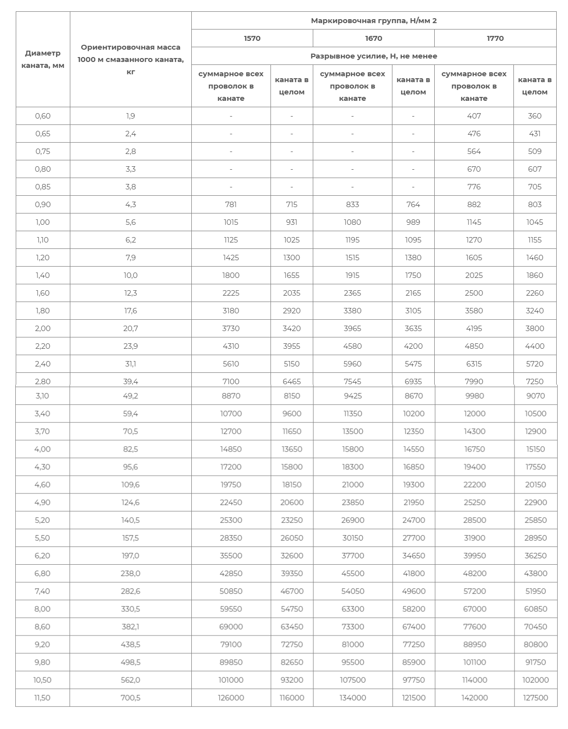
КАНАТ СТАЛЬНОЙ ОДИНАРНОЙ СВИВКИ ТИПА ЛК-0 КОНСТРУКЦИИ 1x7(1+6)
ГОСТ 3062 (аналог DIN 3052, DIN EN 12385-10, ISO-2408)
Применение: канаты бензельные, растяжки, ванты, направляющие для воздушных линий
Характеристики
Доставка
Характеристики
Доставка
Осуществляем доставку следующими способами:
Доставка транспортными компаниями
Самовывоз со склада
Left
Right
Ваше имя
Email
Ваш телефон
Отправляя заявку, вы соглашаетесь с
политикой конфиденциальности
ОСТАВИТЬ ЗАЯВКУ