Закрыть
DIN 3071
р.
р.
Заказать
КАНАТ СТАЛЬНОЙ КОНСТРУКЦИИ
18х7(1+6)+12х7(1+6)+6х7(1+6)+FE
18x7(1+6)+12x7(1+6)+6x7(1+6)+1x7(1+6)
DIN 3071, DIN EN 12385-4, ISO 2408
Применение: канаты некрутящиеся для грузоподъёмных кранов, подъёмных машин
Характеристики
Доставка
Характеристики
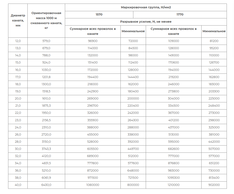
С органическим сердечником:
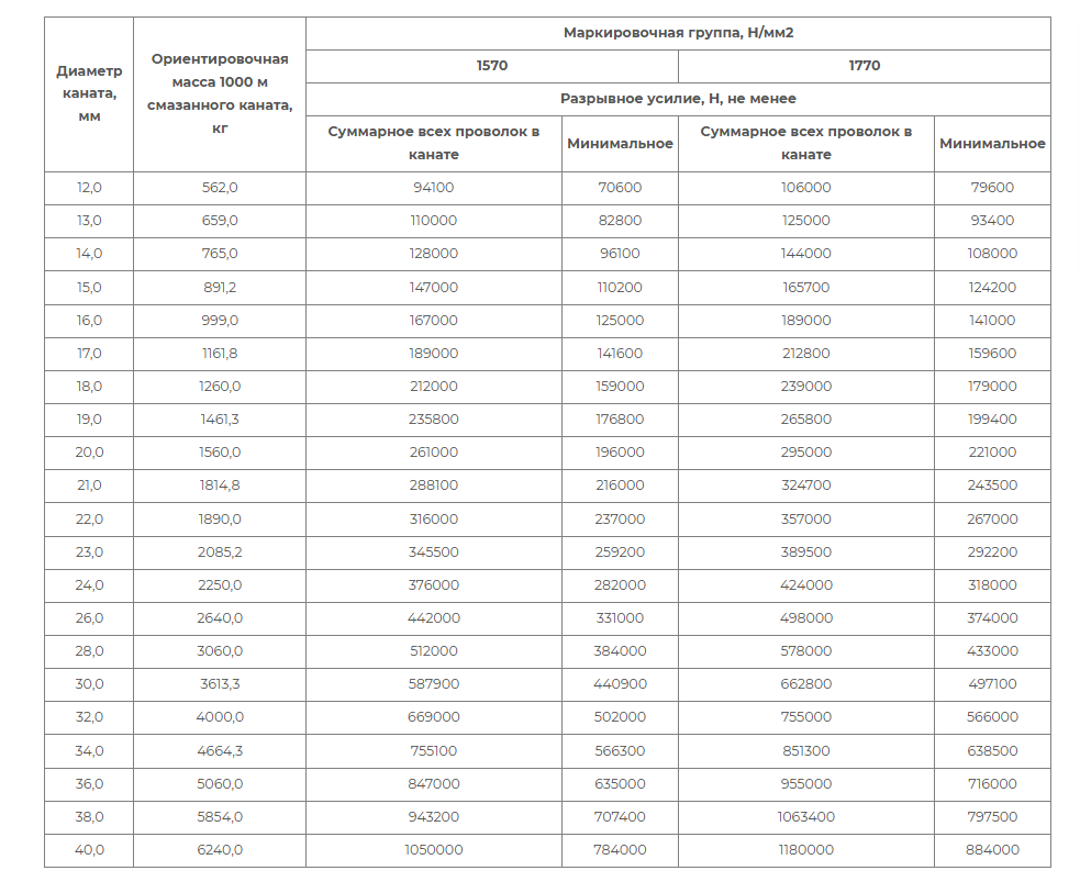
С металлическим сердечником:
Доставка
Осуществляем доставку следующими способами:
Доставка транспортными компаниями
Самовывоз со склада
Left
Right
Ваше имя
Email
Ваш телефон
Отправляя заявку, вы соглашаетесь с
политикой конфиденциальности
ОСТАВИТЬ ЗАЯВКУ