Закрыть
DIN 3066
р.
р.
Заказать
КАНАТ СТАЛЬНОЙ
КОНСТРУКЦИИ 6х37(1+6+12+18)+FE, 6x37(1+6+12+18)+7x7(1+6), 6x37(1+6+12+18)+1x37(1+6+12+18)
DIN 3066, DIN EN 12385-4, ISO 2408
Применение: стропа, канаты для остановки перемещения груза
Характеристики
Доставка
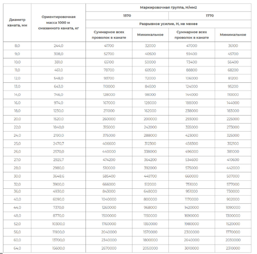
Характеристики
С органическим сердечником:
С металлическим сердечником:
Доставка
Осуществляем доставку следующими способами:
Доставка транспортными компаниями
Самовывоз со склада
Left
Right
Ваше имя
Email
Ваш телефон
Отправляя заявку, вы соглашаетесь с
политикой конфиденциальности
ОСТАВИТЬ ЗАЯВКУ