Закрыть
DIN 3055
р.
р.
Заказать
КАНАТ СТАЛЬНОЙ
КОНСТРУКЦИИ 6x7(1+6)+FE; 6х7(1+6)+1х7(1+6);
DIN 3055, DIN EN 12385-4, ISO 2408
Применение: канаты для грузоподъёмных кранов, подъёмных машин, для автомобилей, вычислительной техники
Характеристики
Доставка
Характеристики
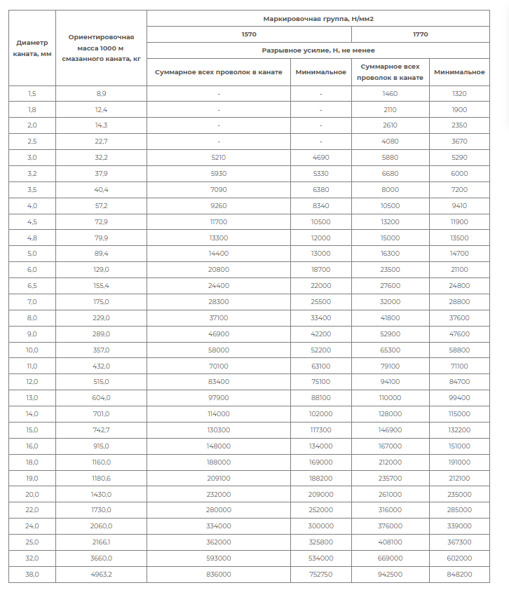
С органическим сердечником:
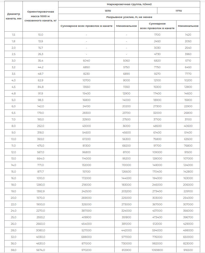
С металлическим сердечником:
Доставка
Осуществляем доставку следующими способами:
Доставка транспортными компаниями
Самовывоз со склада
Left
Right
Ваше имя
Email
Ваш телефон
Отправляя заявку, вы соглашаетесь с
политикой конфиденциальности
ОСТАВИТЬ ЗАЯВКУ