Закрыть
DIN 3053
р.
р.
Заказать
КАНАТ СТАЛЬНОЙ
КОНСТРУКЦИИ 1х19(1+6+12)
DIN 3053, DIN EN 12385-4, ISO 2408
Применение: канаты для подвесных дорог, канаты для кранов, автомобилестроения, грозозащиты
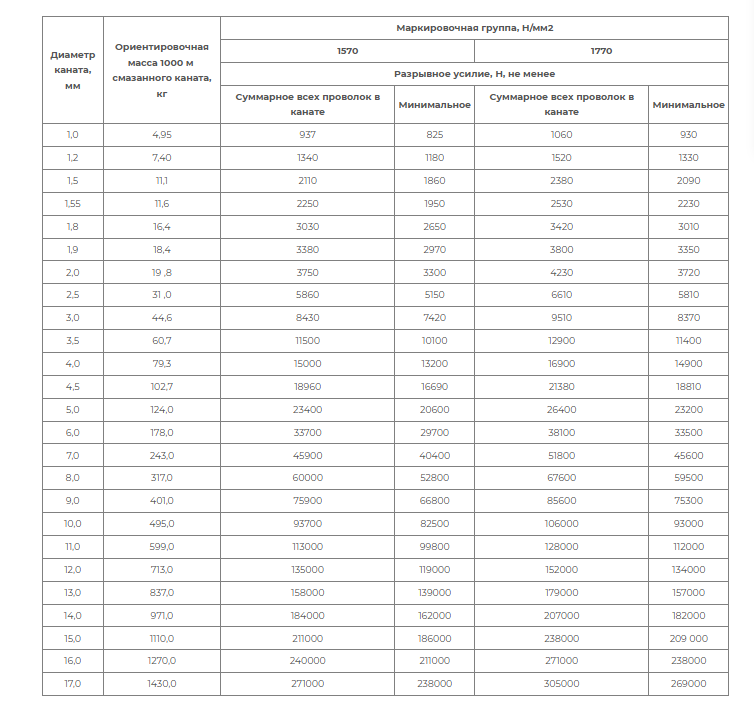
Характеристики
Доставка
Характеристики
Доставка
Осуществляем доставку следующими способами:
Доставка транспортными компаниями
Самовывоз со склада
Left
Right
Ваше имя
Email
Ваш телефон
Отправляя заявку, вы соглашаетесь с
политикой конфиденциальности
ОСТАВИТЬ ЗАЯВКУ