Закрыть
ГОСТ 3067
р.
р.
Заказать
КАНАТ СТАЛЬНОЙ ТИПА ТК
КОНСТРУКЦИИ 6х19(1+6+12)+1х19(1+6+12)
ГОСТ 3067
(аналог DIN 3060 (SE), DIN EN 12385-4, ISО 2408)
Применение: стропы, буксирные и лесосплавные крепления
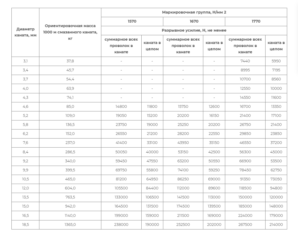
Характеристики
Доставка
Характеристики
Доставка
Осуществляем доставку следующими способами:
Доставка транспортными компаниями
Самовывоз со склада
Left
Right
Ваше имя
Email
Ваш телефон
Отправляя заявку, вы соглашаетесь с
политикой конфиденциальности
ОСТАВИТЬ ЗАЯВКУ